Kasus sinus jumlah dua sudut. Sin 330 ada di kuadran IV rentang 270 360 nilai harus negatif Jika menggunakan 360 Sin 330 Sin 360 30 sin 30 sin 30 12 Atau jika menggunakan 270 Sin 330 Sin 270 60 Cos 60 Cos 60 12 Untuk nilai Sin 30 12 bisa dilihat di tabel Sin Cos Tan pada tabel trigonometri lengkap yang akan sama.

Menentukan Nilai A Sin 150 Derajat B Cosec 45 Derajat C Tan 330 Derajat D Sin 5 2 Phi E Cos 5 4 Phi Youtube
Sin 300 - berada di kuadran IV - pasti negatif jadi jawaban harus negatif sin 300 sin 270 30 cos 30 123 jadi nilai sin 300 12 3 minus setengah akar tiga Nah saya yakin masih ada yang bingung kan.

Nilai sin 330° =. Nilai Sin Cos Tan. A 1 a 1 b 2 b 2. Jawaban yang benar untuk pertanyaan itu.

Soal Matematika Sma Kelas X Semester 2 100 Soal Matematika Pilihlah Semester Piano Notes Songs Trending Topics

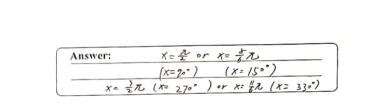
5 Tentukan Semua Nilai X Pada Interval 0 Q Gauthmath

100 Soal Matematika Sma Kelas X Semester 2 Semester The 100 Nilai

Hitunglah Nilai Sin 330 Derajat Dan Sin 660 Derajat Brainly Co Id

Sin 150 5 Cos 300 7 Tan 225 Tan 135 3 Sin 210 Youtube

Nilai Dari Cos 330 Tan 315 S Gauthmath

Cozy Dreams In Diesem Schlafzimmer Traum Wurden Wir Am Liebsten Den Ganzen Winter Verbringen U Pink Bedroom Decor Scandinavian Design Bedroom Bedroom Interior

Tentukan Nilai Dari Sin 330 Cos 225 Gauthmath
Komentar
Posting Komentar