More Questions From This User See All. Yuni604 February 2019 0 Replies.

Tan 240 Cos 120 Cos 330 Gauthmath
Sin 30 yaitu.

Nilai sin dari 330°. Carilah nilai sinus dari sudut 0º 30º 45º 60º dan 90º. Fungsi yang digunakan dalam melakukan perhitungan waktu berdasar detik menit jam hari bulan dan tahun. Nilai Nilai dari Sin Cos Tan.
Nilai sin 150 cos 330tan 225 - sin 300 Answer. SINsudut dalam radian atau SINRADIANS SUDUT Contoh. Depan samping TANDESA Berikut adalah beberapa nilai nilainya yaitu.
Agar kita dapat selalu mengingatnya maka kita gunakan kata seperti. Samping miring KOSAMI Tan theta. Yuni604 February 2019 0 Replies.
Berapa nilai dari Sin 330. Depan miring SINDEMI Cos theta. 0 votes Thanks 0.
Hitunglah nilai dari Cos 240. SINDEMI KOSAMI dan TANDESA. Sin 0 yaitu.
Sin 330 ada di kuadran IV rentang 270 360 nilai harus negatif Jika menggunakan 360 Sin 330 Sin 360 30 sin 30 sin 30 12 Atau jika menggunakan 270 Sin 330 Sin 270 60 Cos 60 Cos 60 12 Untuk nilai Sin 30 12 bisa dilihat di tabel Sin. Jika panjang BC CD bentuk sin B dinyatakan dengan Answer. Nilai dari sin 150 cos 330 tya24putri11 Sin 180-30 cos 360-30 sin 30 cos 30 12 12 1.
Contoh Soal Sin Cos Tan 1 Hitunglah nilai dari Sin 330. Perhatikan gambar berikut. Sin 330 ada di kuadran IV rentang 270 - 360 nilai harus negatif Jika menggunakan 360 Sin 330 Sin 360 - 30 - sin 30 - sin 30 - 12 Atau jika menggunakan 270 Sin 330 Sin 270 60 - Cos 60 - Cos 60 - 12 - Cos 60 sama dengan - 12 dapat dilihat di tabel trigonometri lengkap pada sudut istimewa.
Sin 330 ada di kuadran IV rentang 270 - 360 nilai harus negatif Jika menggunakan 360 Sin 330 Sin 360 - 30 - sin 30 - sin 30 - 12 Atau jika menggunakan 270 Sin 330 Sin 270 60 - Cos 60 - Cos 60 - 12.

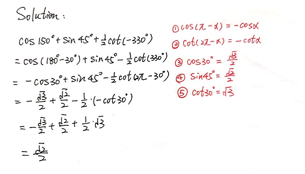
Nilai Dari Cos 150 Sin 45 1 2 Cot 330 Gauthmath

5 Tentukan Semua Nilai X Pada Interval 0 Q Gauthmath

100 Soal Matematika Sma Kelas X Semester 2 Semester The 100 Nilai

100 Soal Matematika Sma Kelas X Semester 2 Semester The 100 Nilai

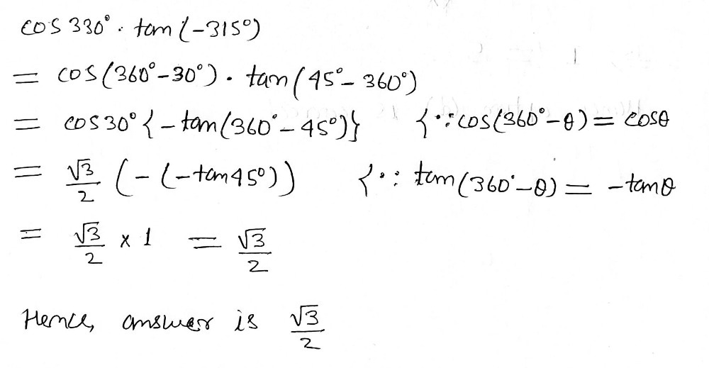
Nilai Dari Cos 330 Tan 315 S Gauthmath

Carilah Nilai Dari Sin 120 Cos 300 Tan 150 Dan Sec 210 Youtube

Soal Matematika Sma Kelas X Semester 2 100 Soal Matematika Pilihlah Semester Piano Notes Songs Trending Topics

Tentukan Nilai Dari Sin 330 Cos 225 Gauthmath
Komentar
Posting Komentar